Digital Engineering articles, white papers, podcasts, and technical bulletins
Discover our Digital Engineering solutions through our latest articles, white papers, podcasts, and technical bulletins written by industry experts from different fields, exploring a range of complex subjects related to Digital Engineering.

How to Navigate Certification and Compliance for Hydrogen as Aviation Fuel
Explore the critical aspects of adopting hydrogen as aviation fuel, including testing, certification, regulatory frameworks, benefits, challenges, and leading initiatives shaping the future of sustainable air travel.

Engineering Futures Podcast - Episode 3
Discover the fascinating world of Computational Fluid Dynamics (CFD) in the food industry with this episode of Engineering Futures. Learn how CFD, known for aerospace excellence, is now revolutionizing food processing, enhancing quality, safety, and sustainability. Join us to explore the diverse applications and future potential of this groundbreaking technology.

Engineering Futures Podcast - Episode 2
Join us in this insightful podcast episode to explore the revolution of data-driven simulation in engineering. Learn about Element's cutting-edge approach in FEA and CFD, and discover how technologies like Python and Dakota are transforming design efficiency and product quality.

Engineering Futures Podcast - Episode 1
Dive into the future of aerospace with our podcast, exploring the transformative role of hydrogen engineering. Discover how Element Digital Engineering is pioneering sustainable flight, validating innovative simulations, and shaping a cleaner, hydrogen-powered world.

Element Digital Engineering presents on 'energy transition' at the AMI Conference
In this video we use real-life examples to demonstrate how Digital Engineering is used to overcome the complex engineering challenges encountered during energy transition.

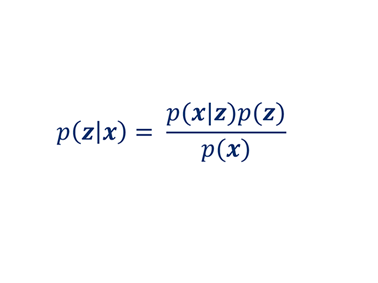
Bayesian Inference
Read our technical piece to learn more about how Bayesian Inference underpins many machine learning techniques.

Identifying Delamination in Composites
Read our article to learn more about delamination in composites and how Element uses simulation to prevent their occurrence.

Whitepaper - Predicting Performance and Integrity with Digital Twins
Download our white paper to learn how we utilize digital twins to predict future operating data to improve performance, and integrity of equipment.

Contemporary Practices in Data Science for the nuclear and engineering industries
Download our white paper investigating key findings from interviews with data science experts.

Understanding the Fundamentals of Vibration Analysis
Our Digital Engineering expert Jon Douglas explains how we use vibration analysis to characterize the vibration levels experienced, or generated, by equipment.

Whitepaper on Digital Approaches For Electromagnetic Certification
Discover how digital modelling is transforming electromagnetic certification in the defence sector. Download our whitepaper to learn more about innovative digital approaches and industry standards.